6  Tidy data and main functions for data wrangling

6.1 Tidy Data

Tidy data is a way of organizing data that makes it easier to analyze and visualize. The concept of tidy data is central to the philosophy of the tidyverse.

  1. Each variable forms a column: Each column contains all values for a single variable.
  2. Each observation forms a row: Each row contains all values for a single observation.
  3. Each value must have its own cell: Each cell is a single value.
tidy your data.
Figure 6.1: Tidy data by Allison Hurst.

6.1.1 Why Tidy Data?

Tidy data structures are beneficial because they: - Simplify data manipulation: Functions in the tidyverse are designed to work with tidy data. Transforming, filtering, and summarizing data becomes more intuitive. - Enhance readability: Tidy data is easier to understand and interpret, making it more accessible to others. - Improve compatibility: Tidy data works seamlessly with tidyverse functions and other analytical tools.

tidy your data.
Figure 6.2: Non-Tidy data by Allison Hurst.

According to Hadley Wickham there are five common data problems that you’ll see when analyzing a dataset:

  1. Column headers are values, not variable names
  2. Multiple variables are stored in one column
  3. Variables are stored in both rows and columns
  4. Multiple types of observational units are stored in the same table
  5. A single observational unit is stored in multiple tables

Most of these problems can be solved with pivoting (longer and wider) and separating.

6.1.2 Example of Tidy vs. Untidy Data

Note

More examples can be found here https://tidyr.tidyverse.org/articles/tidy-data.html

In R there are over 50 built-in datasets, to see them use library(help='datasets'). We will use the Palmer penguins dataset. To use the package…

# Install and load the palmerpenguins package
#install.packages("palmerpenguins")
library(palmerpenguins)
library(tidyverse)

# Load the penguins dataset
data("penguins")

# Display the first few rows of the dataset
head(penguins)
species island bill_length_mm bill_depth_mm flipper_length_mm body_mass_g sex year
Adelie Torgersen 39.1 18.7 181 3750 male 2007
Adelie Torgersen 39.5 17.4 186 3800 female 2007
Adelie Torgersen 40.3 18.0 195 3250 female 2007
Adelie Torgersen NA NA NA NA NA 2007
Adelie Torgersen 36.7 19.3 193 3450 female 2007
Adelie Torgersen 39.3 20.6 190 3650 male 2007

The essiential tidyverse data manipulating functions can be categorized into:

  1. Column Manipulation:
    • Functions to create, modify, or select columns.
    • Examples: mutate(), select(), rename(), summarise(), relocate().
  2. Row Manipulation:
    • Functions to filter, sort, or sample rows.
    • Examples: filter(), slice(), arrange(), distinct(), slice_sample().
  3. Grouping and Aggregation:
    • Functions to group data and perform summary statistics.
    • Examples: group_by(), summarise(), ungroup().
  4. Joining and Merging Data:
    • Functions to combine data from multiple sources.
    • Examples: inner_join(), left_join(), right_join(), full_join(), anti_join().
  5. Reshaping Data:
    • Functions to change the structure of data.
    • Examples: pivot_longer(), pivot_wider().
  6. Handling Missing Data:
    • Functions to deal with NA values.
    • Examples: drop_na(), replace_na(), is.na().
  7. Utility Functions:
    • Functions that provide quick insights or perform general tasks.
    • Examples: glimpse(), count(), arrange().

7 Data Wrangling in practice

7.1 Data integration

7.1.1 Combine multiple datasets

7.1.2 Convert data structures (e.g., pivoting between long and wide formats).

7.1.3 Merge or split variables/columns.

7.2 Data cleaning

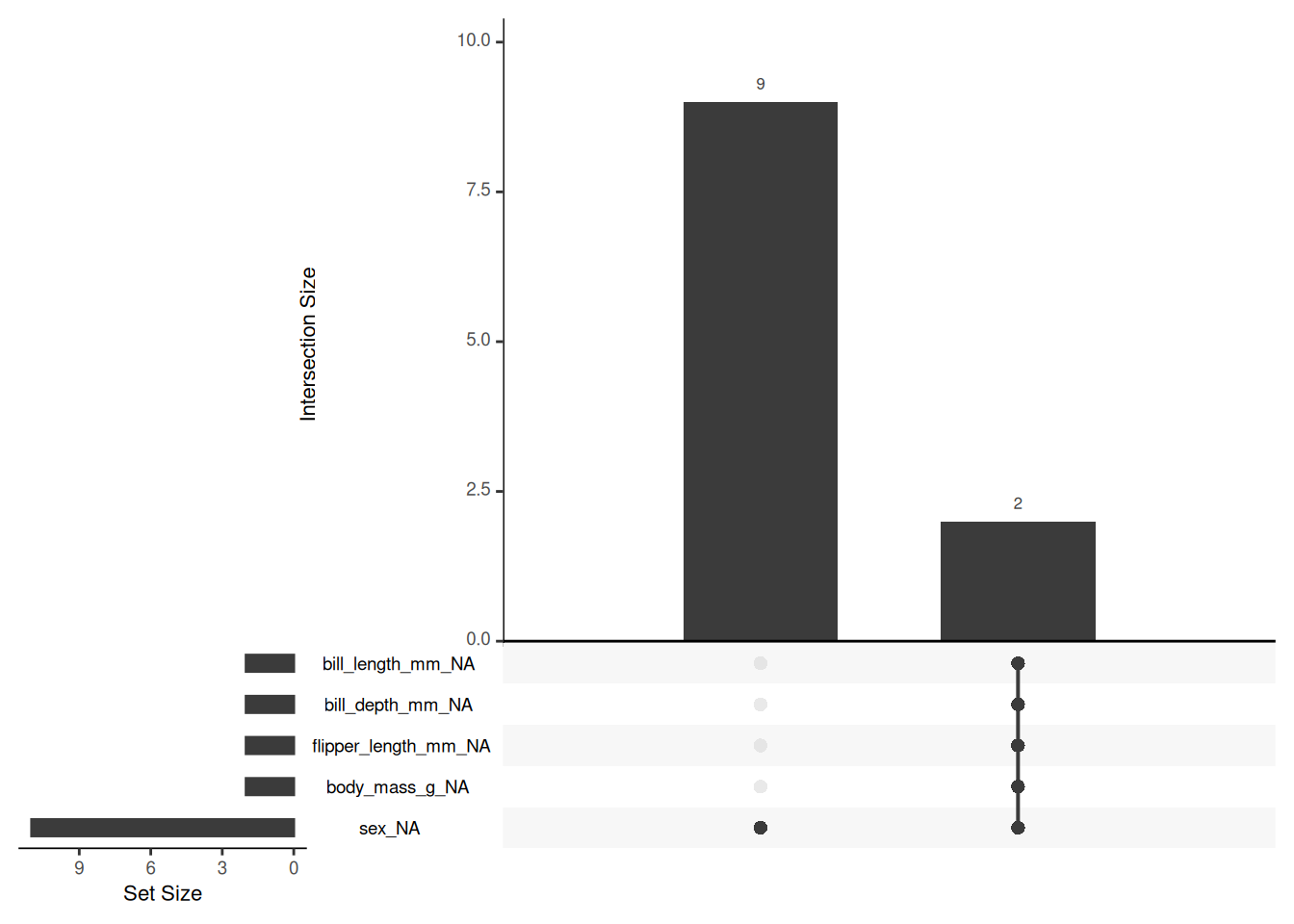
To understand if there is a pattern in the missingness you could use the gg_miss_upset()function from the package naniar.

naniar::gg_miss_upset(penguins)

And to see if the data is missing at random

misty::na.test(penguins, output=FALSE)

7.2.1 Detailed

# Load necessary libraries
library(dplyr)
library(palmerpenguins)

# Load the palmerpenguins dataset
data("penguins")

# 1. Column Manipulation

# mutate()
# Function: Adds new variables or transforms existing ones.
# Example: Add a new column 'Bill_Ratio' which is the ratio of bill length to bill depth.
penguins %>%
  mutate(Bill_Ratio = bill_length_mm / bill_depth_mm) %>%
  head()
species island bill_length_mm bill_depth_mm flipper_length_mm body_mass_g sex year Bill_Ratio
Adelie Torgersen 39.1 18.7 181 3750 male 2007 2.090909
Adelie Torgersen 39.5 17.4 186 3800 female 2007 2.270115
Adelie Torgersen 40.3 18.0 195 3250 female 2007 2.238889
Adelie Torgersen NA NA NA NA NA 2007 NA
Adelie Torgersen 36.7 19.3 193 3450 female 2007 1.901554
Adelie Torgersen 39.3 20.6 190 3650 male 2007 1.907767
# select()
# Function: Selects columns by their names.
# Example: Select only the columns 'species', 'island', 'bill_length_mm', and 'bill_depth_mm'.
penguins %>%
  select(species, island, bill_length_mm, bill_depth_mm) %>%
  head()
species island bill_length_mm bill_depth_mm
Adelie Torgersen 39.1 18.7
Adelie Torgersen 39.5 17.4
Adelie Torgersen 40.3 18.0
Adelie Torgersen NA NA
Adelie Torgersen 36.7 19.3
Adelie Torgersen 39.3 20.6
# rename()
# Function: Renames columns.
# Example: Rename 'bill_length_mm' to 'BillLength' and 'bill_depth_mm' to 'BillDepth'.
penguins %>%
  rename(BillLength = bill_length_mm, BillDepth = bill_depth_mm) %>%
  head()
species island BillLength BillDepth flipper_length_mm body_mass_g sex year
Adelie Torgersen 39.1 18.7 181 3750 male 2007
Adelie Torgersen 39.5 17.4 186 3800 female 2007
Adelie Torgersen 40.3 18.0 195 3250 female 2007
Adelie Torgersen NA NA NA NA NA 2007
Adelie Torgersen 36.7 19.3 193 3450 female 2007
Adelie Torgersen 39.3 20.6 190 3650 male 2007
# summarise()
# Function: Summarizes multiple values to a single value per group.
# Example: Calculate the mean of 'bill_length_mm'.
penguins %>%
  summarise(Mean_Bill_Length = mean(bill_length_mm, na.rm = TRUE))  %>%
  head()
Mean_Bill_Length
43.92193
# relocate()
# Function: Changes the position of columns.
# Example: Move the 'species' column to be the first column in the dataset.
penguins %>%
  relocate(species, .before = bill_length_mm) %>%
  head()
island species bill_length_mm bill_depth_mm flipper_length_mm body_mass_g sex year
Torgersen Adelie 39.1 18.7 181 3750 male 2007
Torgersen Adelie 39.5 17.4 186 3800 female 2007
Torgersen Adelie 40.3 18.0 195 3250 female 2007
Torgersen Adelie NA NA NA NA NA 2007
Torgersen Adelie 36.7 19.3 193 3450 female 2007
Torgersen Adelie 39.3 20.6 190 3650 male 2007
# 2. Row Manipulation

# filter()
# Function: Only retain specific rows of data that meet the specified requirement(s).
# Example: Only display data where the species is "Adelie".
penguins %>%
  filter(species == "Adelie") %>%
  head()
species island bill_length_mm bill_depth_mm flipper_length_mm body_mass_g sex year
Adelie Torgersen 39.1 18.7 181 3750 male 2007
Adelie Torgersen 39.5 17.4 186 3800 female 2007
Adelie Torgersen 40.3 18.0 195 3250 female 2007
Adelie Torgersen NA NA NA NA NA 2007
Adelie Torgersen 36.7 19.3 193 3450 female 2007
Adelie Torgersen 39.3 20.6 190 3650 male 2007
# Example: Only display data where the species is "Adelie" or "Gentoo" and the bill length is greater than 40.
penguins %>%
  filter(species %in% c("Adelie", "Gentoo"), bill_length_mm > 40) %>%
  head()
species island bill_length_mm bill_depth_mm flipper_length_mm body_mass_g sex year
Adelie Torgersen 40.3 18.0 195 3250 female 2007
Adelie Torgersen 42.0 20.2 190 4250 NA 2007
Adelie Torgersen 41.1 17.6 182 3200 female 2007
Adelie Torgersen 42.5 20.7 197 4500 male 2007
Adelie Torgersen 46.0 21.5 194 4200 male 2007
Adelie Biscoe 40.6 18.6 183 3550 male 2007
# Example: Only display data where the species is not "Adelie".
penguins %>%
  filter(species != "Adelie") %>%
  head()
species island bill_length_mm bill_depth_mm flipper_length_mm body_mass_g sex year
Gentoo Biscoe 46.1 13.2 211 4500 female 2007
Gentoo Biscoe 50.0 16.3 230 5700 male 2007
Gentoo Biscoe 48.7 14.1 210 4450 female 2007
Gentoo Biscoe 50.0 15.2 218 5700 male 2007
Gentoo Biscoe 47.6 14.5 215 5400 male 2007
Gentoo Biscoe 46.5 13.5 210 4550 female 2007
# slice()
# Function: Selects rows by position.
# Example: Select the first 10 rows of the dataset.
penguins %>%
  slice(1:10)
species island bill_length_mm bill_depth_mm flipper_length_mm body_mass_g sex year
Adelie Torgersen 39.1 18.7 181 3750 male 2007
Adelie Torgersen 39.5 17.4 186 3800 female 2007
Adelie Torgersen 40.3 18.0 195 3250 female 2007
Adelie Torgersen NA NA NA NA NA 2007
Adelie Torgersen 36.7 19.3 193 3450 female 2007
Adelie Torgersen 39.3 20.6 190 3650 male 2007
Adelie Torgersen 38.9 17.8 181 3625 female 2007
Adelie Torgersen 39.2 19.6 195 4675 male 2007
Adelie Torgersen 34.1 18.1 193 3475 NA 2007
Adelie Torgersen 42.0 20.2 190 4250 NA 2007
# arrange()
# Function: Orders rows by the values of columns.
# Example: Order rows by 'bill_length_mm' in ascending order.
penguins %>%
  arrange(bill_length_mm)  %>%
  head()
species island bill_length_mm bill_depth_mm flipper_length_mm body_mass_g sex year
Adelie Dream 32.1 15.5 188 3050 female 2009
Adelie Dream 33.1 16.1 178 2900 female 2008
Adelie Torgersen 33.5 19.0 190 3600 female 2008
Adelie Dream 34.0 17.1 185 3400 female 2008
Adelie Torgersen 34.1 18.1 193 3475 NA 2007
Adelie Torgersen 34.4 18.4 184 3325 female 2007
# distinct()
# Function: Returns unique rows based on selected columns.
# Example: Return unique combinations of 'species' and 'island'.
penguins %>%
  distinct(species, island)  %>%
  head()
species island
Adelie Torgersen
Adelie Biscoe
Adelie Dream
Gentoo Biscoe
Chinstrap Dream
# slice_sample()
# Function: Randomly selects rows.
# Example: Randomly select 10 rows from the dataset.
penguins %>%
  slice_sample(n = 10)
species island bill_length_mm bill_depth_mm flipper_length_mm body_mass_g sex year
Adelie Biscoe 42.7 18.3 196 4075 male 2009
Adelie Dream 39.6 18.8 190 4600 male 2007
Adelie Torgersen 42.0 20.2 190 4250 NA 2007
Gentoo Biscoe 46.4 15.0 216 4700 female 2008
Chinstrap Dream 42.4 17.3 181 3600 female 2007
Adelie Torgersen 37.3 20.5 199 3775 male 2009
Adelie Dream 34.0 17.1 185 3400 female 2008
Gentoo Biscoe 44.4 17.3 219 5250 male 2008
Gentoo Biscoe 45.5 13.7 214 4650 female 2007
Chinstrap Dream 47.6 18.3 195 3850 female 2008
# 3. Grouping and Aggregation

# group_by()
# Function: Groups data by one or more variables.
# Example: Group by 'species' to perform operations within each species.
penguins %>%
  group_by(species)  %>%
  head()
species island bill_length_mm bill_depth_mm flipper_length_mm body_mass_g sex year
Adelie Torgersen 39.1 18.7 181 3750 male 2007
Adelie Torgersen 39.5 17.4 186 3800 female 2007
Adelie Torgersen 40.3 18.0 195 3250 female 2007
Adelie Torgersen NA NA NA NA NA 2007
Adelie Torgersen 36.7 19.3 193 3450 female 2007
Adelie Torgersen 39.3 20.6 190 3650 male 2007
# summarise()
# Function: Creates summary statistics within groups.
# Example: Calculate the mean and standard deviation of 'flipper_length_mm' for each species.
penguins %>%
  group_by(species) %>%
  summarise(Mean_Flipper_Length = mean(flipper_length_mm, na.rm = TRUE),
            SD_Flipper_Length = sd(flipper_length_mm, na.rm = TRUE),
            Count = n()) %>%
  ungroup() %>%
  head()
species Mean_Flipper_Length SD_Flipper_Length Count
Adelie 189.9536 6.539457 152
Chinstrap 195.8235 7.131894 68
Gentoo 217.1870 6.484976 124
# ungroup()
# Function: Removes grouping.
# Example: Always use ungroup() after grouping to avoid errors in future calculations.
penguins %>%
  group_by(species) %>%
  summarise(Mean_Flipper_Length = mean(flipper_length_mm, na.rm = TRUE)) %>%
  ungroup() %>%
  head()
species Mean_Flipper_Length
Adelie 189.9536
Chinstrap 195.8235
Gentoo 217.1870
# Example of when ungroup() matters
# Without ungroup()
penguins %>%
  group_by(species) %>%
  mutate(mean_flipper_length = mean(flipper_length_mm, na.rm = TRUE)) %>%
  mutate(mean_body_mass = mean(body_mass_g, na.rm = TRUE)) %>%
  head()
species island bill_length_mm bill_depth_mm flipper_length_mm body_mass_g sex year mean_flipper_length mean_body_mass
Adelie Torgersen 39.1 18.7 181 3750 male 2007 189.9536 3700.662
Adelie Torgersen 39.5 17.4 186 3800 female 2007 189.9536 3700.662
Adelie Torgersen 40.3 18.0 195 3250 female 2007 189.9536 3700.662
Adelie Torgersen NA NA NA NA NA 2007 189.9536 3700.662
Adelie Torgersen 36.7 19.3 193 3450 female 2007 189.9536 3700.662
Adelie Torgersen 39.3 20.6 190 3650 male 2007 189.9536 3700.662
# With ungroup() in the correct place
penguins %>%
  group_by(species) %>%
  mutate(mean_flipper_length = mean(flipper_length_mm, na.rm = TRUE)) %>%
  ungroup() %>%
  mutate(mean_body_mass = mean(body_mass_g, na.rm = TRUE)) %>%
  head()
species island bill_length_mm bill_depth_mm flipper_length_mm body_mass_g sex year mean_flipper_length mean_body_mass
Adelie Torgersen 39.1 18.7 181 3750 male 2007 189.9536 4201.754
Adelie Torgersen 39.5 17.4 186 3800 female 2007 189.9536 4201.754
Adelie Torgersen 40.3 18.0 195 3250 female 2007 189.9536 4201.754
Adelie Torgersen NA NA NA NA NA 2007 189.9536 4201.754
Adelie Torgersen 36.7 19.3 193 3450 female 2007 189.9536 4201.754
Adelie Torgersen 39.3 20.6 190 3650 male 2007 189.9536 4201.754
# 4. Joining and Merging Data

# Create a dummy dataset for joining examples
island_info <- tibble(
  island = unique(penguins$island),
  region = c("Antarctica", "Antarctica", "Antarctica")
)  %>%
  head()

# inner_join()
# Function: Joins two data frames by common columns.
# Example: Join the penguins dataset with island_info on the 'island' column.
penguins %>%
  inner_join(island_info, by = "island") %>%
  head()
species island bill_length_mm bill_depth_mm flipper_length_mm body_mass_g sex year region
Adelie Torgersen 39.1 18.7 181 3750 male 2007 Antarctica
Adelie Torgersen 39.5 17.4 186 3800 female 2007 Antarctica
Adelie Torgersen 40.3 18.0 195 3250 female 2007 Antarctica
Adelie Torgersen NA NA NA NA NA 2007 Antarctica
Adelie Torgersen 36.7 19.3 193 3450 female 2007 Antarctica
Adelie Torgersen 39.3 20.6 190 3650 male 2007 Antarctica
# left_join()
# Function: Keeps all rows from the left data frame and matches with the right.
# Example: Left join the penguins dataset with island_info on the 'island' column.
penguins %>%
  left_join(island_info, by = "island")  %>%
  head()
species island bill_length_mm bill_depth_mm flipper_length_mm body_mass_g sex year region
Adelie Torgersen 39.1 18.7 181 3750 male 2007 Antarctica
Adelie Torgersen 39.5 17.4 186 3800 female 2007 Antarctica
Adelie Torgersen 40.3 18.0 195 3250 female 2007 Antarctica
Adelie Torgersen NA NA NA NA NA 2007 Antarctica
Adelie Torgersen 36.7 19.3 193 3450 female 2007 Antarctica
Adelie Torgersen 39.3 20.6 190 3650 male 2007 Antarctica
# right_join()
# Function: Keeps all rows from the right data frame and matches with the left.
# Example: Right join the penguins dataset with island_info on the 'island' column.
penguins %>%
  right_join(island_info, by = "island")  %>%
  head()
species island bill_length_mm bill_depth_mm flipper_length_mm body_mass_g sex year region
Adelie Torgersen 39.1 18.7 181 3750 male 2007 Antarctica
Adelie Torgersen 39.5 17.4 186 3800 female 2007 Antarctica
Adelie Torgersen 40.3 18.0 195 3250 female 2007 Antarctica
Adelie Torgersen NA NA NA NA NA 2007 Antarctica
Adelie Torgersen 36.7 19.3 193 3450 female 2007 Antarctica
Adelie Torgersen 39.3 20.6 190 3650 male 2007 Antarctica
# full_join()
# Function: Keeps all rows from both data frames.
# Example: Full join the penguins dataset with island_info on the 'island' column.
penguins %>%
  full_join(island_info, by = "island")  %>%
  head()
species island bill_length_mm bill_depth_mm flipper_length_mm body_mass_g sex year region
Adelie Torgersen 39.1 18.7 181 3750 male 2007 Antarctica
Adelie Torgersen 39.5 17.4 186 3800 female 2007 Antarctica
Adelie Torgersen 40.3 18.0 195 3250 female 2007 Antarctica
Adelie Torgersen NA NA NA NA NA 2007 Antarctica
Adelie Torgersen 36.7 19.3 193 3450 female 2007 Antarctica
Adelie Torgersen 39.3 20.6 190 3650 male 2007 Antarctica
# 5. Reshaping Data

# pivot_longer()
# Function: Converts wide data to long format.
# Example: Convert the penguins dataset from wide to long format, focusing on bill measurements.
penguins %>%
  pivot_longer(cols = starts_with("bill"), names_to = "Measurement", values_to = "Value") %>%
  head()
species island flipper_length_mm body_mass_g sex year Measurement Value
Adelie Torgersen 181 3750 male 2007 bill_length_mm 39.1
Adelie Torgersen 181 3750 male 2007 bill_depth_mm 18.7
Adelie Torgersen 186 3800 female 2007 bill_length_mm 39.5
Adelie Torgersen 186 3800 female 2007 bill_depth_mm 17.4
Adelie Torgersen 195 3250 female 2007 bill_length_mm 40.3
Adelie Torgersen 195 3250 female 2007 bill_depth_mm 18.0
# pivot_wider()
# Function: Converts long data to wide format.
# Example: Convert the penguins dataset from long back to wide format.
penguins_long <- penguins %>%
  pivot_longer(cols = starts_with("bill"), names_to = "Measurement", values_to = "Value") %>%
  head()

penguins_long %>%
  pivot_wider(names_from = Measurement, values_from = Value)  %>%
  head()
species island flipper_length_mm body_mass_g sex year bill_length_mm bill_depth_mm
Adelie Torgersen 181 3750 male 2007 39.1 18.7
Adelie Torgersen 186 3800 female 2007 39.5 17.4
Adelie Torgersen 195 3250 female 2007 40.3 18.0
# 6. Handling Missing Data

# drop_na()
# Function: Removes rows with missing values.
# Example: Remove any rows that have missing values.
penguins %>%
  drop_na()  %>%
  head()
species island bill_length_mm bill_depth_mm flipper_length_mm body_mass_g sex year
Adelie Torgersen 39.1 18.7 181 3750 male 2007
Adelie Torgersen 39.5 17.4 186 3800 female 2007
Adelie Torgersen 40.3 18.0 195 3250 female 2007
Adelie Torgersen 36.7 19.3 193 3450 female 2007
Adelie Torgersen 39.3 20.6 190 3650 male 2007
Adelie Torgersen 38.9 17.8 181 3625 female 2007
# replace_na()
# Function: Replaces missing values with specified values.
# Example: Replace missing values in 'bill_length_mm' with 0.
penguins %>%
  replace_na(list(bill_length_mm = 0))  %>%
  head()
species island bill_length_mm bill_depth_mm flipper_length_mm body_mass_g sex year
Adelie Torgersen 39.1 18.7 181 3750 male 2007
Adelie Torgersen 39.5 17.4 186 3800 female 2007
Adelie Torgersen 40.3 18.0 195 3250 female 2007
Adelie Torgersen 0.0 NA NA NA NA 2007
Adelie Torgersen 36.7 19.3 193 3450 female 2007
Adelie Torgersen 39.3 20.6 190 3650 male 2007
# is.na()
# Function: Identifies missing values.
# Example: Add a new column indicating whether the 'bill_length_mm' values are missing.
penguins %>%
  mutate(Missing_Bill_Length = is.na(bill_length_mm)) %>%
  head()
species island bill_length_mm bill_depth_mm flipper_length_mm body_mass_g sex year Missing_Bill_Length
Adelie Torgersen 39.1 18.7 181 3750 male 2007 FALSE
Adelie Torgersen 39.5 17.4 186 3800 female 2007 FALSE
Adelie Torgersen 40.3 18.0 195 3250 female 2007 FALSE
Adelie Torgersen NA NA NA NA NA 2007 TRUE
Adelie Torgersen 36.7 19.3 193 3450 female 2007 FALSE
Adelie Torgersen 39.3 20.6 190 3650 male 2007 FALSE
# 7. Utility Functions

# glimpse()
# Function: Provides a compact view of the data.
# Example: Get a brief overview of the penguins dataset.
glimpse(penguins)  %>%
  data.frame() %>%
  head()
Rows: 344
Columns: 8
$ species           <fct> Adelie, Adelie, Adelie, Adelie, Adelie, Adelie, Adel…
$ island            <fct> Torgersen, Torgersen, Torgersen, Torgersen, Torgerse…
$ bill_length_mm    <dbl> 39.1, 39.5, 40.3, NA, 36.7, 39.3, 38.9, 39.2, 34.1, …
$ bill_depth_mm     <dbl> 18.7, 17.4, 18.0, NA, 19.3, 20.6, 17.8, 19.6, 18.1, …
$ flipper_length_mm <int> 181, 186, 195, NA, 193, 190, 181, 195, 193, 190, 186…
$ body_mass_g       <int> 3750, 3800, 3250, NA, 3450, 3650, 3625, 4675, 3475, …
$ sex               <fct> male, female, female, NA, female, male, female, male…
$ year              <int> 2007, 2007, 2007, 2007, 2007, 2007, 2007, 2007, 2007…
species island bill_length_mm bill_depth_mm flipper_length_mm body_mass_g sex year
Adelie Torgersen 39.1 18.7 181 3750 male 2007
Adelie Torgersen 39.5 17.4 186 3800 female 2007
Adelie Torgersen 40.3 18.0 195 3250 female 2007
Adelie Torgersen NA NA NA NA NA 2007
Adelie Torgersen 36.7 19.3 193 3450 female 2007
Adelie Torgersen 39.3 20.6 190 3650 male 2007
# count()
# Function: Counts the number of occurrences of unique values.
# Example: Count the number of occurrences of each species.
penguins %>%
  count(species) %>%
  head()
species n
Adelie 152
Chinstrap 68
Gentoo 124
# arrange()
# Function: Orders rows by the values of columns.
# Example: Order rows by 'bill_length_mm' in ascending order.
penguins %>%
  arrange(bill_length_mm) %>%
  head()
species island bill_length_mm bill_depth_mm flipper_length_mm body_mass_g sex year
Adelie Dream 32.1 15.5 188 3050 female 2009
Adelie Dream 33.1 16.1 178 2900 female 2008
Adelie Torgersen 33.5 19.0 190 3600 female 2008
Adelie Dream 34.0 17.1 185 3400 female 2008
Adelie Torgersen 34.1 18.1 193 3475 NA 2007
Adelie Torgersen 34.4 18.4 184 3325 female 2007
# Additional Functions: if_else() and case_when()

# if_else()
# Function: Vectorized conditional transformation.
# Example: Add a new column 'Bill_Category' based on the length of the bill.
penguins %>%
  mutate(Bill_Category = if_else(bill_length_mm > 40, "Large", "Small")) %>%
  head()
species island bill_length_mm bill_depth_mm flipper_length_mm body_mass_g sex year Bill_Category
Adelie Torgersen 39.1 18.7 181 3750 male 2007 Small
Adelie Torgersen 39.5 17.4 186 3800 female 2007 Small
Adelie Torgersen 40.3 18.0 195 3250 female 2007 Large
Adelie Torgersen NA NA NA NA NA 2007 NA
Adelie Torgersen 36.7 19.3 193 3450 female 2007 Small
Adelie Torgersen 39.3 20.6 190 3650 male 2007 Small
# case_when()
# Function: Multiple conditional transformations.
# Example: Add a new column 'Bill_Category' with multiple conditions.
penguins %>%
  mutate(Bill_Category = case_when(
    bill_length_mm > 40 ~ "Large",
    bill_length_mm <= 40 ~ "Small",
    TRUE ~ "Unknown"
  )) %>%
  head()
species island bill_length_mm bill_depth_mm flipper_length_mm body_mass_g sex year Bill_Category
Adelie Torgersen 39.1 18.7 181 3750 male 2007 Small
Adelie Torgersen 39.5 17.4 186 3800 female 2007 Small
Adelie Torgersen 40.3 18.0 195 3250 female 2007 Large
Adelie Torgersen NA NA NA NA NA 2007 Unknown
Adelie Torgersen 36.7 19.3 193 3450 female 2007 Small
Adelie Torgersen 39.3 20.6 190 3650 male 2007 Small

tidy-notes

Coding best practices
  • Everything you do with your data needs to be documented
  • You need to be able to retrace your steps
  • Follow a consistent coding style, such as the Tidyverse style guide
  • Use version control systems like Git to track changes and collaborate with others.

8 Reading in Packages

To begin any data analysis project in R, you need to load the necessary packages. These packages contain functions and datasets that facilitate data manipulation, visualization, and analysis. For example, the tidyverse package is a collection of R packages designed for data science.

# Install necessary packages if not already installed
install.packages(c("tidyverse", "here"))

# Load the necessary packages
library(tidyverse)
library(here)

Sometimes, you may want to use a specific function from a package without loading the entire package. You can do this using the :: operator. For example, if you only need the here() function from the here package, you can use it directly as follows:

here::here()

here is the package and using the :: will call a function in that package in this case here().

9 Reading in Rectangular Data

Importing data from various sources into R is a crucial step in any data analysis workflow. Rectangular data, typically stored in formats like CSV, Excel, or databases, can be easily imported using various R packages.

The here package is particularly useful for constructing file paths in a reproducible way, ensuring that your code works across different environments.

9.0.1 Importing Data with Common R Packages

9.0.1.1 Using readr for CSV Files

The readr package is part of the tidyverse and is used for reading delimited files such as CSV. In Sweden, it’s common to use commas (,) or semicolons (;) as delimiters.

library(readr)
library(here)

# Reading a CSV file with commas as delimiters
data_comma <- read_csv(here::here("data", "data_comma.csv"))

# Reading a CSV file with semicolons as delimiters
data_semicolon <- read_csv2(here::here("data", "data_semicolon.csv"))

9.0.2 Using haven for SPSS, Stata, and SAS Files

The haven package is useful for reading data from statistical software formats such as SPSS, Stata, and SAS.

library(haven)

# Reading an SPSS file
data_spss <- read_sav(here::here("data", "data_spss.sav"))

# Reading a Stata file
data_stata <- read_dta(here::here("data", "data_stata.dta"))

# Reading a SAS file
data_sas <- read_sas(here::here("data", "data_sas.sas"))

9.0.3 Using openxlsx for Excel Files

The openxlsx package provides a way to read Excel files, which are commonly used for data storage.

library(openxlsx)

# Reading an Excel file
data_excel <- read.xlsx(here::here("data", "data_excel.xlsx"))

10 Data Cleaning

  • Handle missing values, correct data types, and clean up data to ensure it is ready for analysis.
  • Save the cleaned data.

11 Data Exploration

  • Perform initial exploration of the data to understand its structure and main characteristics (e.g., summary statistics, data visualization).
  • Create initial visualizations and tables to summarize data.

na naniar

12 Data Transformation

  • Manipulate and transform the data as needed for analysis (e.g., filtering, mutating, summarizing). data transformation

13 Data Analysis and Visualization

  • Apply statistical methods to analyze the data and test hypotheses (e.g., regression analysis, t-tests).
  • Create detailed visualizations to explore data patterns and support analysis (e.g., scatter plots, histograms).
  • Generate tables to summarize statistical findings.

14 Reporting Results

  • Document the analysis and create comprehensive reports or presentations to communicate findings (e.g., using R Markdown or Quarto).
  • Include visualizations and tables to illustrate key points and findings.

15 Saving Data

  • Save the final transformed and analyzed data to a file or database for future use or sharing.

15.1 Coding best practices

Coding best practices, involves following guidelines and principles that make your code more readable, maintainable, and reproducible. Here are some key aspects of good code conduct in the context of data analysis with R:

15.1.1 Readable and Descriptive Code

  • Use clear and descriptive variable and function names.
  • Write comments to explain complex logic and steps.
  • Structure code in a logical flow.

15.1.2 Consistent Style

  • Follow a consistent coding style, such as the Tidyverse style guide.
  • Use consistent indentation and spacing.
  • Follow naming conventions (e.g., snake_case for variables and functions).

15.1.3 Modular Code

  • Break your code into small, reusable functions.
  • Avoid long, monolithic scripts by organizing code into sections or functions.

15.1.4 Version Control

  • Use version control systems like Git to track changes and collaborate with others.
  • Commit changes with meaningful messages.

15.1.5 Documentation

  • Document your code and analysis process using R Markdown or Quarto.
  • Include a README file in your project to explain its purpose and how to use it.

15.1.6 Reproducibility

  • Ensure your code can be run by others without modification.
  • Use relative file paths with the here package to manage file paths dynamically.
  • Set a seed for random number generation to ensure reproducible results.

15.1.7 Avoiding RData Files

  • Pros: RData files save multiple objects and preserve object attributes.
  • Cons: They are not human-readable, making it hard to understand what’s inside without loading them.
  • Best Practice: Use text-based formats (e.g., CSV, RDS) for saving data. RDS files save single R objects and are more transparent than RData files.